蝶閥是工業和農業領域常見的閥門,主要起切斷和節流作用。蝶閥啟閉件是一個圓盤形的閥板,在閥體內繞自身軸線旋轉,從而達到啟閉或調節的目的。近年來,隨著計算機技術及計算流體動力學軟件的發展,越來越多的人利用數值計算的方法分析蝶閥內部三維流動特性,如壓力流速分布、分離流動區域等。袁新明等數值模擬研究了閥門的阻力特性;諸葛偉林等采用基于非結構、非交錯網格的有限體積法求解用兩方程模型封閉的雷諾平均N-S方程組,對蝶閥的三維分離流動進行了數值模擬,得出蝶閥的流動阻力系數隨著蝶閥關閉角度的增大呈指數性增長的結論;沈新榮等針對自行開發的一類安裝配流板的新型電動蝶閥模型,進行了三維數值模擬和實驗研究,對不同開度下電動蝶閥的三維湍流流動進行了數值計算;劉健等對大口徑蝶閥運用商用流體計算軟件FLUENT,對其不同開度情況下的流場形式進行了三維數值模擬分析;劉華坪等利用動網格技術對管路中常見的閥門進行了動態數值模擬;HuangandKim使用三維數值模擬技術分析了在蝶閥內部的不可壓縮的流體的流動狀況,并給出了分析后的速度場圖和應力分布圖;LinandSchohl分析了CFD在蝶閥領域的應用;黃國權等利用CFD軟件FLUENT對中心型蝶閥流場進行數值模擬,定性給出了閥門在不同開度下重要部位的受力情況,比較直觀地給出了閥門在不同工況下流道內部的速度分布,得到了渦流的形成過程,及速度對渦流形成及擴展的影響;類似的研究工作還有許多。這些研究對于指導蝶閥的設計、改善其流動狀況、減小流動阻力具有非常重要的意義。
對于大口徑蝶閥,由于其在應用時需承受較大的流體壓力,其閥板容易產生變形而降低工作可靠性。因此,往往需要設計加強筋增加閥板強度。目前,加強筋的分布形式主要有“#”形、“◇”形和“//”形三種(圖1)。
工程實際應用過程中發現,不同形狀加強筋對流經閥門流體流動特性的影響不一樣。為揭示其影響的內在規律,利用流體動力學分析軟件,以RANS方程為控制方程,采用標準的紊流模型(k-ε模型)和壓力耦合方程組的半隱式方法(SIMPLE算法),給出了在100%開度下閥板表面三種典型的筋板分布形式對閥門流動特性的影響規律。
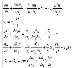
擇單相流體的不可壓縮三維粘性流動模型,采用不可壓縮流動的雷諾方程組與k-ε湍流模型構成封閉的方程組來描述,如式(1)所示。

式中:ρ為密度;為壓力;k為湍流動能;ε為湍流動能耗散率;為速度矢量;xi和xj為坐標參數;v為湍流粘度;vt為湍流粘性系數;Gk和Gε為由平均速度梯度引起的湍流動能及湍流動能耗散率的產生項;cμ、σε、σk、c1、c2為常數,在標準k-ε模型中,cμ=0.09,σε=1.3,σk=1.0。
采用不可壓縮流動的雷諾時均方程組,湍流模型采用標準k-ε模型;所有方程中的對流項均用二階迎風格式離散,離散方程的求解采用壓力耦合方程組的半隱式方法(SIMPLE算法)。連續性方程和動量方程收斂殘差標準均為10-3。進口邊界條件為速度進口,進口速度設1.0m/s。出口邊界條件定為自由流動,其他邊界條件均為固壁;計算中忽略重力對流場的影響;全流場計算定常流動,得到蝶閥內流場的詳細分布情況。選取蝶閥及其前后一段管道作為計算域,流動方向為x軸正向。采用非結構網格,將蝶閥閥板及尾跡區域的網格局部加密,以確保網格質量和求解精度。
在相同計算條件下,對閥板三種典型的加強筋形狀產生的無量綱流體阻力進行比較,如圖2所示,數值為正說明產生的是阻力,數值越大則閥板對流體的阻力越大。從計算結果可以看出:三種加強筋導致閥板受到的流體阻力大小不同,阻力從大到小依次為“#”形、“◇”形和“//”形。進一步從閥板表面壓力分布情況以及流體流經閥板后流場的結構和形態改變情況進行深入分析,揭示導致差異的本質原因。 
圖2 相同條件下不同加強筋形狀產生的無量綱流體阻力
圖3為三種典型加強筋結構形成的閥板表面三維壓力分布云圖和截面壓力分布云圖。

對于閥板而言,三種情況形成的高壓區基本上集中于閥板前部迎水面處,以中間逐漸向兩側減小,直至閥板背面形成低壓區,并且壓力達到最小。而對于閥板上的加強筋而言,壓力分布形態則有所不同:“//”形加強筋的高壓區集中于前端面,低壓區集中于后端面;“◇”形加強筋的高壓區集中于菱形的前角區域附近,而壓力最小值位于菱形上下兩側尖角后側區域附近;“#”形加強筋的高壓區較為分散,而低壓區主要分布于豎直筋條的后緣區域。加強筋上壓力分布形態的差異是造成閥門流體阻力不同的根本原因之一。
從流體流經三種加強筋形成的速度矢量及流線分布圖(圖4)可以看出:“//”形加強筋對流體的流動影響最小,流線進過加強筋后流動方向基本上未發生明顯的改變,流動分離現象并不明顯,流阻較小;“#”形加強筋對流體的流動影響最大,流線經過加強筋后被截斷,并在加強筋內部形成卡門漩渦,對流體阻礙作用最大。而流線經過“◇”形加強筋后會在上下兩側尖角之后形成一定的分離,但是對流體的阻礙作用沒有“#”形加強筋的強烈。

圖4 流體速度矢量及流線分布情況
本文通過數值模擬,研究了閥板在100%開度下其表面三種典型的筋板分布形式對流經閥門流體的流動特性的影響規律。通過對無量綱流體阻力進行比較以及表面壓力分布情況和流體速度矢量及流線分布情況等方面的分析。得出在滿足閥板強度要求的前提下,采用對稱性“//”形筋板分布有利于減少閥門的流體阻力和動力水頭損失并且增加流量的結論。